Complete NCERT Book Page wise Solution Class 10th as per Latest CBSE Syllabus
Class 10, – Mathematics
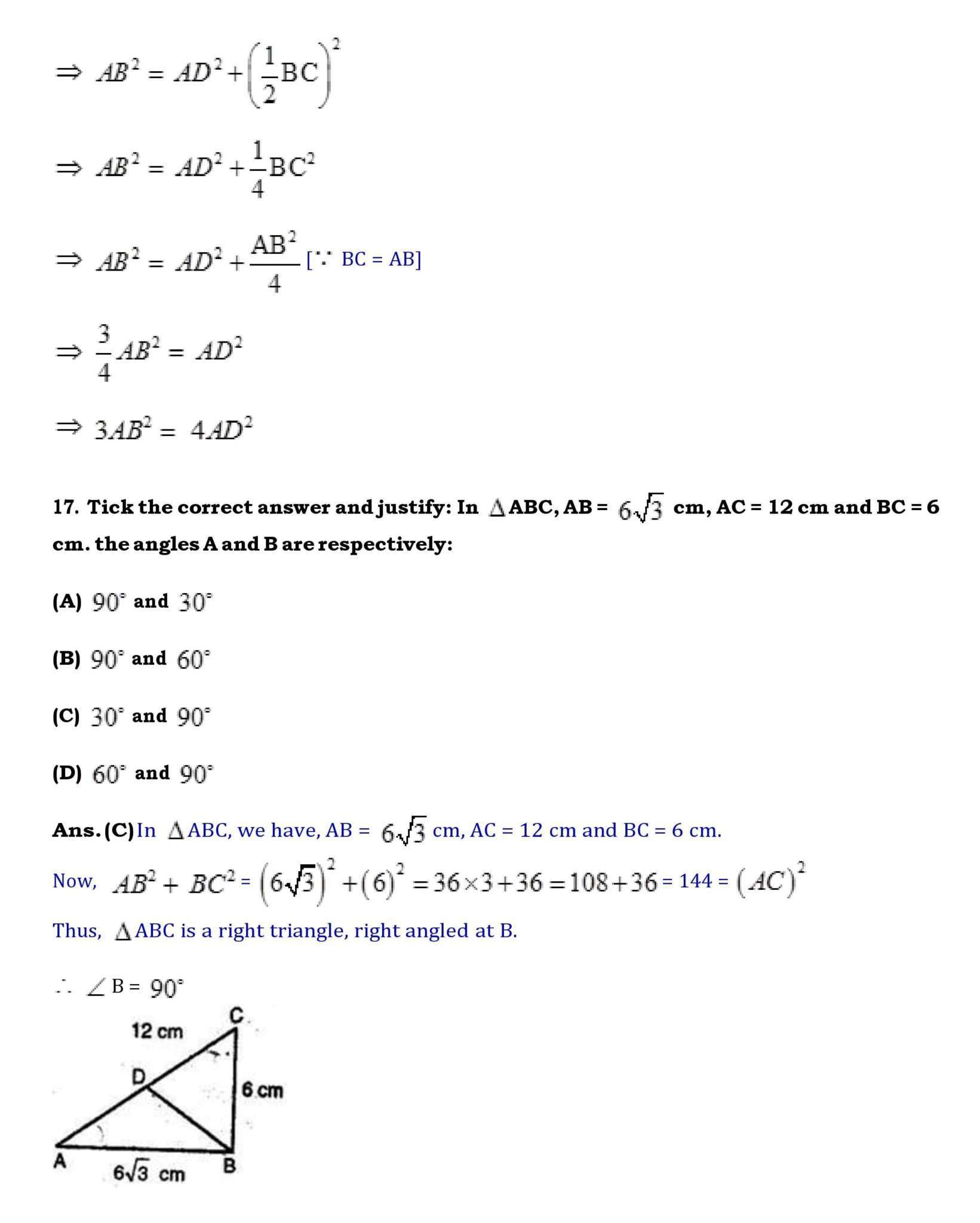
Chapter- 6 –Triangles
The following page provides you NCERT book solutions for class 9 Mathematics, Mathematics class 9 notes in pdf are also available in the related links between the text.
Exercise-6.1
Exercise-6.2
Exercise-6.3
Exercise-6.4
Exercise-6.5
Exercise-6.6














Download Ch-6 Triangles, Ex. 6.5 Page wise NCERT Solution in PDF
