Complete NCERT Book Page wise Solution Class 9th as per Latest CBSE Syllabus
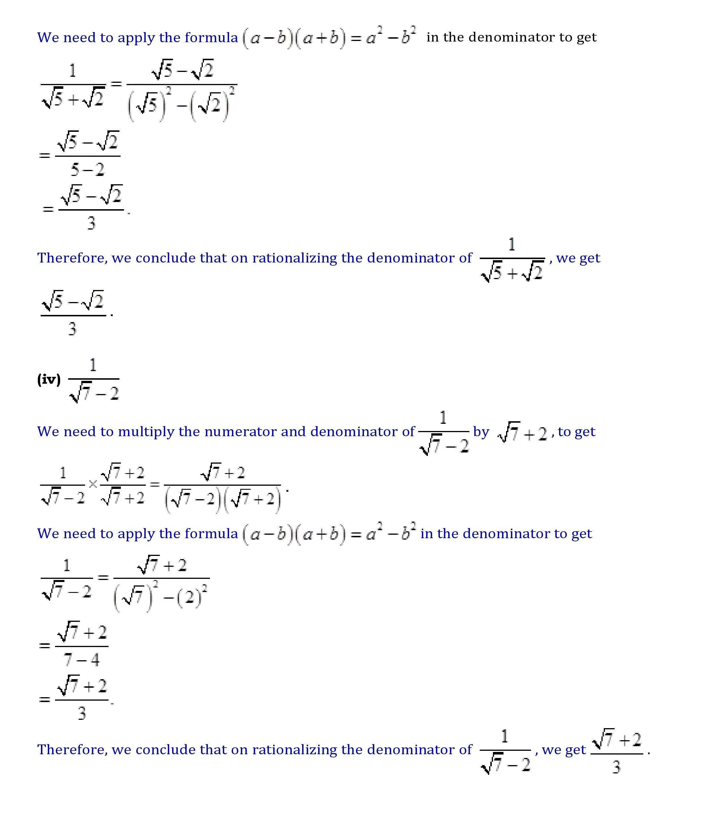
Class 9 – Mathematics Chapter- 1 โ Number Systems Exercise 1.5
Description- The following page provides you NCERT book solutions for class 9 Mathematics, Mathematics class 9 notes in pdf are also available in the related links between the texts.
Exercise 1.1
Exercise 1.2
Exercise 1.3
Exercise 1.4
Exercise 1.5
Exercise 1.6

Download Ch -1 Number Systems Exercise 1.5 – Page wise NCERT Solution in PDF
