Complete NCERT Book Page wise Solution Class 10th as per Latest CBSE Syllabus
Class 10, – Mathematics
Chapter- 8 –Introduction to Trignometry
The following page provides you NCERT book solutions for class 9 Mathematics, Mathematics class 9 notes in pdf are also available in the related links between the text.
Exercise-8.1
Exercise-8.2
Exercise-8.3
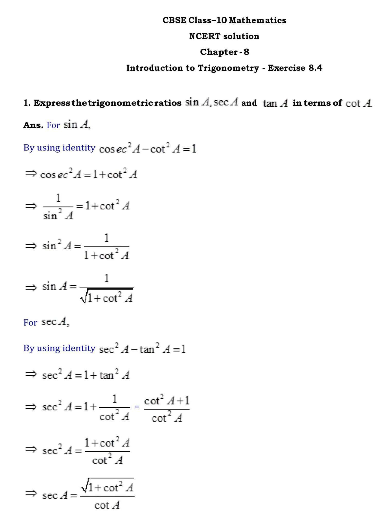
Exercise-8.4












Download Ch-8 Introduction to Trignometry, Ex. 8.4 Page wise NCERT Solution in PDF
