Complete NCERT Book Page wise Solution Class 10th as per Latest CBSE Syllabus
Class 10, – Mathematics
Chapter- 2 Polynomials
The following page provides you NCERT book solutions for Class 10 Mathematics, Mathematics Class 10 notes in pdf are also available in the related links between the text.
Exercise-2.1
Exercise-2.2
Exercise-2.3
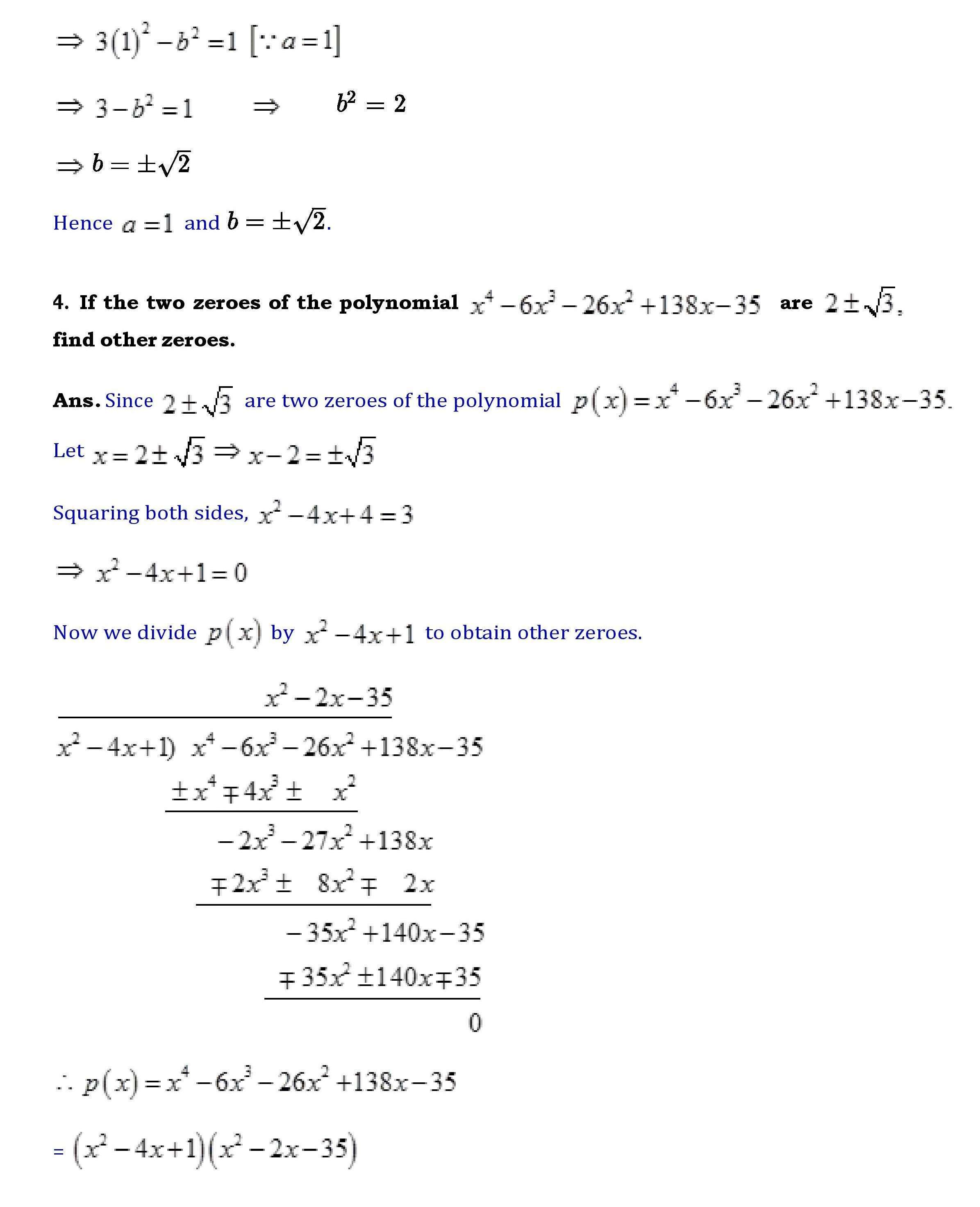
Exercise-2.4




Download Ch-2 Polynomials, Ex. 2.4 Page wise NCERT Solution in PDF
